Reference Guides - Order Book Dynamics
From Poisson Queues to Price Formation
The limit order book is the mechanism through which prices form in electronic markets. Resting limit orders at each price level define supply and demand; continuous arrivals, executions, and cancellations reshape the book tick by tick. Price changes emerge endogenously when the best bid or ask queue depletes to zero — making price formation a first-passage-time problem.
1. Queue as a Birth-Death Process
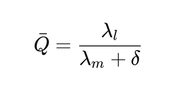
At price level p, let Q(p, t) denote total resting quantity. Three event types drive the queue:
Limit order arrivals at rate λl (births)
Market order executions at rate λm (deaths, from front)
Cancellations at rate δ · q (deaths, proportional to queue size)
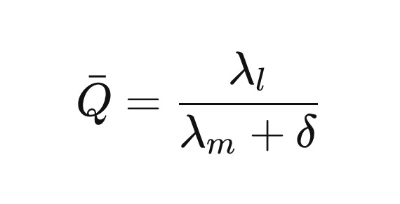
The queue evolves as a birth-death chain. The stationary mean queue size is:
with variance Q̄(1 + δQ̄/(λm + δ)) — over-dispersed relative to Poisson.
A price tick occurs when Q(pb, t) → 0 at the best bid (price falls) or Q(pₐ, t) → 0 at the best ask (price rises).
2. Zero-Intelligence Model
The ZI model (Smith et al. 2003) places limit orders uniformly in [p - L, p + L] with no strategic intent. Market orders arrive at rate μ. The equilibrium spread emerges endogenously:
Key insight: a well-defined spread, diffusive returns, and realistic depth profiles arise purely from order book mechanics — no rationality needed. The ZI model separates mechanical phenomena from those requiring strategic behavior.
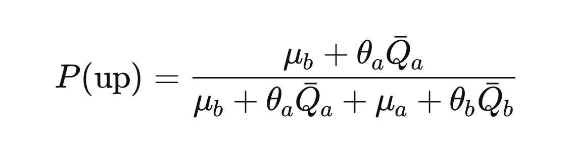
3. Cont-Stoikov-Talreja Model
The CST model (2010) tracks the joint state (Qb, Qₐ) ∈ ℤ_+² as a continuous-time Markov chain with six event rates:
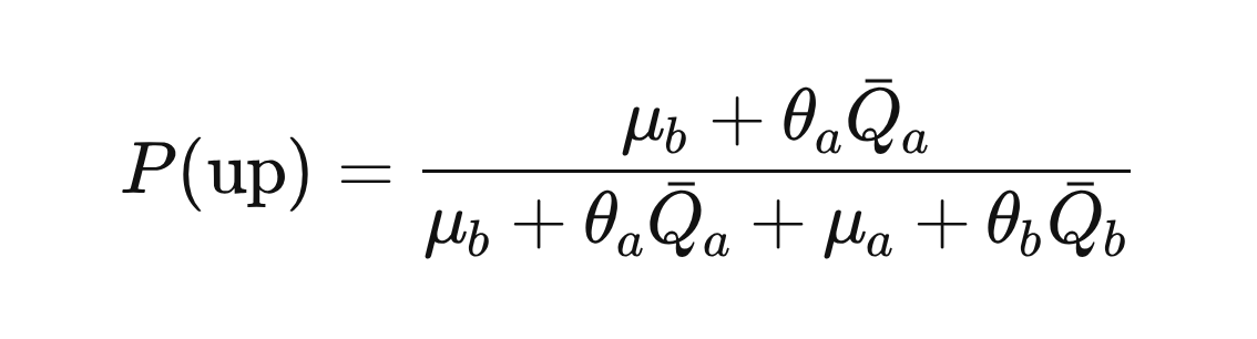
A mid-price move occurs at the first queue depletion. The probability the next move is upward:
Defining imbalance I = Qb / (Qb + Qₐ), the conditional probability of an up-move is nearly linear in I for moderate values and nonlinear in the tails.
4. Queue Reactivity (Hawkes Processes)
Real order flow exhibits clustering: market orders trigger cancellations, which trigger further cancellations, which trigger limit order refills. The Hawkes process captures this self-excitation. The intensity of event type i at time t:
The matrix αᵢⱼ encodes feedback loops:
The branching ratio n = ∑ⱼ αᵢⱼ/βᵢⱼ measures the fraction of endogenously triggered events. In equity markets n > 0.7 — most order book activity is reactive, not informational.
5. Diffusion Limit and First Passage
For large queues, the discrete birth-death process approximates a continuous Ornstein-Uhlenbeck diffusion:
where σQ² = λl + λm + δ Qₜ. This is an OU process with mean-reversion level Q̄ and speed δ.
Since price moves occur at queue depletion (Q → 0), the inter-move duration is a first-passage time. Starting from Q₀ = Q̄:
The exponential dependence means modest increases in queue depth dramatically reduce price-move frequency — explaining why deep-book instruments have lower tick-level volatility.
6. Order Flow Imbalance and Price Formation
The OFI framework (Cont, Kukanov & Stoikov 2014) quantifies how order flow maps to price changes. Over interval [t, t + Δ t]:
The contemporaneous price change follows:
with R² ≈ 0.40--0.65 at 10-second horizons. The impact coefficient links back to queue depth:
This closes the loop: order flow moves queues, queue depletion moves prices, depth governs the rate.
7. Multi-Level Depth Profile
The limit order density at distance x from mid-price follows a power law near the spread:
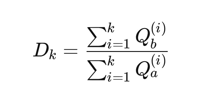
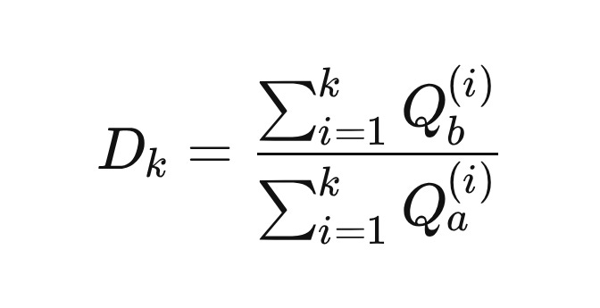
The book is sparse near the spread and denser further away. The multi-level depth ratio at depth k:
adds 5–15 percentage points of R² for 1-second returns beyond Level 1 imbalance alone, with marginal contribution decaying in k.
8. Queue Position Value
The value of being the k-th order in a queue of depth Q at the best bid:
Fill probability decays exponentially: P(fill ∣ k) ≈ e⁻k/Q^∗. The marginal value of advancing one position:
This is the rational willingness to pay for latency — a co-location upgrade that gains one queue position is worth Δ V per order.
9. Key Empirical Facts
Queue lifetimes: heavy-tailed, power-law exponents in [1.5, 2.5]
Fill rates: exponential decay in queue position; front-of-queue fills at 60–80%, back at 5–10% (large-tick stocks)
Cancellation clustering: bursts triggered by correlated instrument moves; propagates across 2–3 price levels within milliseconds
Intraday patterns: U-shaped arrival rates (open/close heavy); cancellation-to-arrival ratio relatively flat
Mean-reversion: queue sizes revert on seconds-to-minutes timescale; speed inversely related to spread width
References
Smith, Farmer, Gillemot & Krishnamurthy (2003). Statistical theory of the continuous double auction. Quantitative Finance, 3(6), 481–514.
Cont, Stoikov & Talreja (2010). A stochastic model for order book dynamics. Operations Research, 58(3), 549–563.
Cont, Kukanov & Stoikov (2014). The price impact of order book events. Journal of Financial Economics, 104(2), 471–484.
Hawkes (1971). Spectra of some self-exciting and mutually exciting point processes. Biometrika, 58(1), 83–90.
Bacry, Mastromatteo & Muzy (2015). Hawkes processes in finance. Market Microstructure and Liquidity, 1(1), 1550005.
Bouchaud, Mézard & Potters (2002). Statistical properties of stock order books. Quantitative Finance, 2(4), 251–256.
Huang, Lehalle & Rosenbaum (2015). Simulating and analyzing order book data: The queue-reactive model. JASA, 110(509), 107–122.
Gould et al. (2013). Limit order books. Quantitative Finance, 13(11), 1709–1748.
Abergel & Jedidi (2013). A mathematical approach to order book modeling. IJTAF, 16(5), 1350025.
Obizhaeva & Wang (2013). Optimal trading strategy and supply/demand dynamics. Journal of Financial Markets, 16(1), 1–32.
Lehalle & Mounjid (2017). Limit order strategic placement with adverse selection risk. MSL, 3(1), 1750009.
Daniels, Farmer, Gillemot, Iori & Smith (2003). Quantitative model of price diffusion and market friction. PRL, 90(10), 108102.











![\mathbb{E}[\tau_0] \sim \frac{1}{\delta} \exp\left(\frac{\delta \bar{Q}^2}{\sigma_Q^2}\right) \mathbb{E}[\tau_0] \sim \frac{1}{\delta} \exp\left(\frac{\delta \bar{Q}^2}{\sigma_Q^2}\right)](https://substackcdn.com/image/fetch/$s_!Iw-1!,w_1456,c_limit,f_auto,q_auto:good,fl_progressive:steep/https%3A%2F%2Fsubstack-post-media.s3.amazonaws.com%2Fpublic%2Fimages%2F82a75620-4919-4563-999f-f27c6f07f621_846x345.jpeg)



![f(x) \sim x^{\alpha}, \quad x \to 0^+, \quad \alpha \in [0.3, \, 1.0] f(x) \sim x^{\alpha}, \quad x \to 0^+, \quad \alpha \in [0.3, \, 1.0]](https://substackcdn.com/image/fetch/$s_!7Nzf!,w_1456,c_limit,f_auto,q_auto:good,fl_progressive:steep/https%3A%2F%2Fsubstack-post-media.s3.amazonaws.com%2Fpublic%2Fimages%2Fbb2d4373-86e0-46f8-803f-9aef5baf15d7_1287x231.jpeg)

![V(k) = P(\text{fill} \mid k) \cdot \mathbb{E}[\pi \mid \text{filled}] - C_{\text{wait}}(k) V(k) = P(\text{fill} \mid k) \cdot \mathbb{E}[\pi \mid \text{filled}] - C_{\text{wait}}(k)](https://substackcdn.com/image/fetch/$s_!_GMW!,w_1456,c_limit,f_auto,q_auto:good,fl_progressive:steep/https%3A%2F%2Fsubstack-post-media.s3.amazonaws.com%2Fpublic%2Fimages%2F3610e4a2-61c9-4fd6-a5b6-66ff71065f5f_1395x231.jpeg)
![\Delta V \approx \frac{\lambda_m}{Q^2} \cdot \mathbb{E}\left[\frac{S}{2} - \text{AS}\right] \Delta V \approx \frac{\lambda_m}{Q^2} \cdot \mathbb{E}\left[\frac{S}{2} - \text{AS}\right]](https://substackcdn.com/image/fetch/$s_!l9tt!,w_1456,c_limit,f_auto,q_auto:good,fl_progressive:steep/https%3A%2F%2Fsubstack-post-media.s3.amazonaws.com%2Fpublic%2Fimages%2Fb589fd6a-e484-43d7-875c-3e03da14063c_915x306.jpeg)
